t-e.dev

PROJECT NAME:

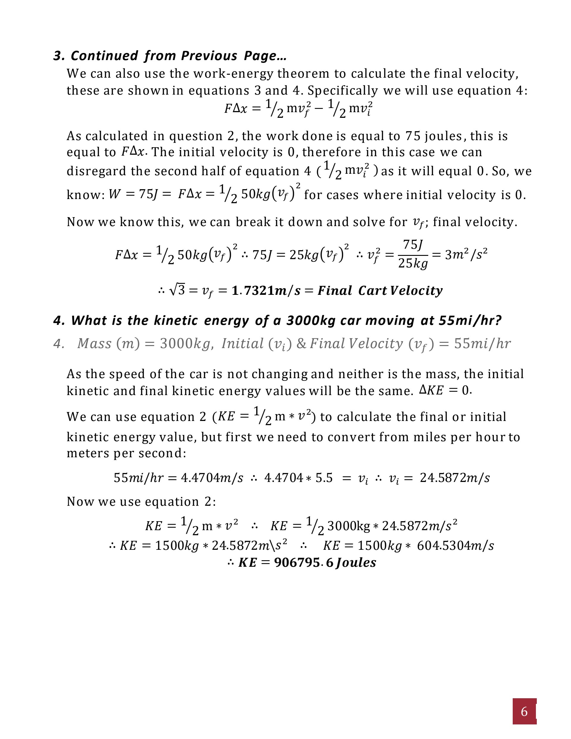
Physics Engine Programming


SUBSECTIONS:

Directed Studies 4 – 6


This is the last set of directed studies covering areas of physics & maths such as objects in motion, rotational motion, circular motion, collisions, kinetic energy, potential energy, and energy conservation.


This work builds on previous work covering Newtonian physics and acted as a precursor to building a games engine from scratch in C++ later in the year. Having a solid understanding of physics in this way also aided in the development of my Skill-Surf: Mobile project.